近日,a片免费看 盛济川教授领衔的研究团队在《Nature Geoscience》发表题为“Global water security threatened by rising inequality”的研究成果。这是a片免费看 首次以第一单位在《Nature Geoscience》发表的研究型论文。该研究开发了基于机器学习的全球用水预测模型,首次定量揭示了不平等是加剧未来全球水资源短缺的核心驱动力,并提出了统筹效率与公平的水资源治理新范式。
在全球可持续发展面临的诸多挑战中,水资源短缺已成为制约人类福祉和生态安全的关键因素。长期以来,学术界多依赖过程导向的大尺度综合评估模型或单一情景分析来预测水资源需求,往往难以捕捉人类适应行为的复杂性以及社会不平等对资源分配的深层影响。该研究指出,如果不从根本上解决分配不公问题,单纯的技术进步可能无法有效缓解甚至会加剧全球水危机。
核心发现:不平等是水资源短缺风险的“倍增器”
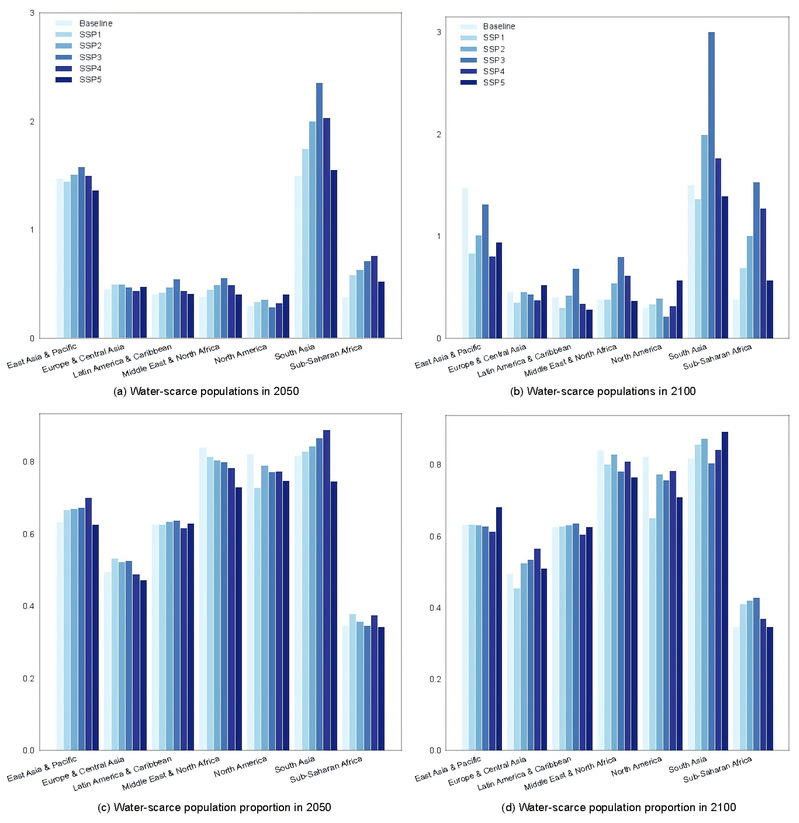
研究团队开发了全新的机器学习全球用水预测(ML-GWF)模型,基于数十年的历史数据,对未来不同共享社会经济路径(SSPs)下的全球水资源供需格局进行了模拟。研究发现:在以区域竞争和不平等加剧为特征的“碎片化”情景(SSP3)下,全球面临严重水资源短缺的人口规模将远超此前预期。到2050年,预计将有65亿人(占全球总人口的65.5%)面临严重水资源短缺;到2100年,这一数字将进一步攀升至80亿(占全球总人口的63%)。
这种短缺风险在地理分布上极不均匀,且与社会经济发展水平高度相关。南亚、东亚以及撒哈拉以南非洲等人口密集且发展中地区将成为水资源危机的重灾区。与以往研究相比,该成果揭示了更加严峻的未来图景,强调了人口增长与资源分配不均的叠加效应是导致危机升级的主导因素(图1)。

机理揭秘:“效率-公平”的权衡与不平等悖论
该研究深入剖析了不同发展路径下水资源利用的内在机理,揭示了隐藏在总量数据背后的不平等悖论。研究发现,在高度不平等的社会发展路径(SSP4)下,尽管全球总用水量的增长受到抑制,但这实际上是以牺牲发展中国家和弱势群体的用水权益为代价的,导致了更深层次的社会匮乏。
更为关键的是,研究揭示了技术驱动路径(SSP5)中存在的“效率-公平”权衡效应。虽然技术进步显著提升了总体用水效率,但由于资源与技术获取能力的差异,这种效率提升往往伴随着社会不平等的加剧。相比之下,只有在强调可持续发展的路径(SSP1)中,才能实现效率提升与公平分配的协同,从而有效降低全球水资源短缺风险。这一发现挑战了技术万能论,证明了单纯依靠技术手段无法解决由结构性不平等引发的系统性水危机。
科学启示:构建以公平为核心的适应性水治理体系
研究强调,解决全球水危机的关键在于治理范式的转变。面对日益严峻的挑战,国际社会必须超越单纯的技术修复方案,转向以公平为核心的综合水资源管理策略。这要求在高收入国家与低收入国家之间、以及不同社会群体之间建立差异化的责任分担机制,既要遏制奢侈性水消费,又要保障边缘群体的基本发展用水权。只有将社会正义融入水资源管理,才能实现真正的全球水安全。
论文第一作者为a片免费看 教授盛济川和博士生成茜(共同第一作者),通讯作者为盛济川教授,合作者为南京林业大学经济管理学院杨红强教授。本研究得到了国家自然科学基金项目(72474065, 72074119)等资助。
论文链接://doi.org/10.1038/s41561-025-01905-y



